介绍 ERC721-C 支付处理器:改变游戏规则的 NFT 市场协议

5 月初,Limit Break 公开发布并开源了 ERC721-C,这是 NFT 领域的一项创新,有望一劳永逸地结束 NFT 版税辩论。royaltyInfoERC721-C 包括转移安全级别,没有任何变通办法可以让 NFT 创造者利用 EIP-2981 的功能阻止那些没有根据 NFT 智能合约中编程的内容正确处理版税支付的交易所。这对 NFT 行业来说是一个重大的解锁,因为 ERC721-C 允许创作者将可编程的版税功能构建到智能合约中,这些功能可以以多种方式奖励他们的社区,否则在使用费可选的 NFT 交易世界中将毫无意义。

今天,Limit Break 很高兴地宣布推出Payment Processor,这是世界上第一个完全兼容 ERC721-C 和可编程版税的 NFT 市场协议合约!支付处理器一种经过审计的市场协议,可对 NFT 交易进行无信任验证和执行。它可靠地支付所有卖家、市场和特许权使用费收益,不受链外交易操纵的影响。

该合约现在适用于所有新的和现有的 NFT 交易所,这些交易所希望将可编程的特许权使用费与其订单簿集成,而无需承担开发自己的市场协议合约所需的时间和费用负担。

支付处理器部署到以下网络/地址:

主网:0x009a1dC629242961C9E4f089b437aFD394474cc0

多边形:0x009a1Daf6B5b8ADC6B3DB720C58D43caA2fdAc56

戈尔利:0x009a1D88379A604664006FFf6c32877bFF6723Bd

乌贼:0x009a1D8DE8D80Fcd9C6aaAFE97A237dC663f2978

孟买:0x009A1D6bDf55B25ca21436ED30968C1fb7648244

支付处理器如何工作?

支付处理器完全包含在一份智能合约中,该合约以高水平的可靠性编写,其中包括强大的功能集。

NFT 的多标准支持

灵活的支付方式

多种贸易类型

可编程费用执行

创建者定义的安全配置文件

支付处理器支持任何 ERC721 或 ERC1155 代币的交易。它是当前唯一原生支持 ERC721-C 和通过 EIP-2981 公开的可编程版税的市场协议!所有购买功能都会根据royaltyInfo正在销售的 NFT 上实现的 EIP-2981 接口自动查询和支付版税。不实现此接口的 NFT 不收取版税。

可以使用本机(ETH 或等值)货币或任何 ERC20 代币进行付款。但是,创作者可以灵活地允许在其收藏中购买任何货币,或者定义自己的一套批准的付款方式。

有四种主要的购买类型:

购买单一清单

批量购买商品(购物车)

购买捆绑列表,卖家列出一个系列中的捆绑商品,买家购买整个捆绑商品

扫货系列,买家从一个或多个卖家单独列出的一个系列中购买多件商品

与ERC721-C类似,支付处理器为NFT创建者提供了影响交易执行行为的各种安全设置。它允许创作者从以下选项中进行选择:

交易所白名单开/关

支付方式白名单开/关

定价约束开/关

私人销售开/关

委托购买钱包开/关

智能合约买家和卖家开/关

Exchange 白名单绕过 EOA 开/关

创建者定义的特定集合或单个代币的定价范围(最低下限、最高上限和货币)

支付处理器在编写时考虑到了 gas 效率,但在对影响 gas 成本的实施细节进行权衡时,优先考虑 NFT 创建者的可读性、安全性和灵活性。

为什么不直接使用 Seaport 或 Blur?

SeaportBlur Exchange市场协议已经存在时,为什么还需要支付处理器?

根据设计,这两个协议接受一组费用作为其 NFT 交易/购买功能的输入。此设计不保证版税将以适当的金额支付或支付给 EIP-2981 中定义的适当的接收者。也不能保证创作者会得到报酬,因为我们看到许多交易所一次又一次地改变他们的版税政策。

为了确保 ERC721-C 可编程版税中定义的接收者获得版税,版税查找和支付必须以无需链下修改的方式永久写入市场协议合约中。支付处理器是第一个永久包含 EIP-2981 版税支持的市场协议,建立了一个新的标准,要求竞争性市场合约在链上执行所有版税查询和支付。本文的其余部分将重点介绍三种市场协议的深入比较。

比较市场协议

本节根据几个标准比较支付处理器SeaportBlur Exchange:gas 效率、不变性、简单性和可读性、对代币标准的支持、灵活性以及对 NFT 创建者的安全/保护。

燃气效率

为了比较这三个市场协议,我们分叉了seaport github存储库blur Exchange github存储库

方法论:我们生成了一组基准测试,以在使用三种协议的交易之间进行公平、客观的同类比较。我们试图尽可能地复制相同的场景和结果。您可以在此处查看Seaport基准在此处查看Blur Exchange基准以及在此处查看支付处理器基准为了衡量暖购和冷购之间的差异,我们分别执行了 100 次销售,并将平均 gas 成本作为暖购值,将最大 gas 成本作为冷购值。

我们对以下常用交易方式进行了基准测试:

购买单一清单

购买捆绑列表(1 个买家、1 个卖家、单个集合中的多个商品)

收藏扫荡(1 个买家、多个卖家、单个收藏中的多个商品)

对于每种类型的交易,我们使用以下基准条件:

原生ETH支付

ERC721 代币销售

无费用

仅市场费用,

市场和特许权使用费

测量冷热购买

注意:“冷”购买是指卖方和买方之前从未与市场或 NFT 合约进行过交互。这些往往是最昂贵的一次性交易,因为它们通常涉及将存储槽值设置为从零到非零值,每个交易需要 20K Gas 单位的成本。“热”购买是指卖方和买方之前都与市场合约进行过交互,并且买方的 NFT 余额已经大于零。“温”交易成本更能代表大多数交易,因为买卖双方更有可能在钱包的生命周期内买卖不止一个 NFT。

注意:链上的实际 gas 价格将根据影响智能合约控制流的大量变量而变化(ETH 与 ERC20 支付、ERC721 与 ERC1155、冷热销售、自定义管道/区域/高级订单标准)海港等)。下面列出的气体测量值是由 Foundry 的测试套件和内置气体报告器测量的,这将与实时以太坊网络上的气体成本不同。这些测量结果仍应公平地反映两个合同之间的数量级差异。

注意:海港销售可能会或可能不会使用管道,这会影响天然气成本。我们的测量对有导管和无导管的情况进行了平均,假设这些情况之间的比例大约为 50%。

基准 — 购买单一清单

如下所示,Seaport在个人“冷”购买方面效率更高,但支付处理器在“热”购买类别中获胜。正如您将在整个比较中看到的那样,Blur Exchange在 Gas 成本方面与其他协议相比根本没有竞争力。

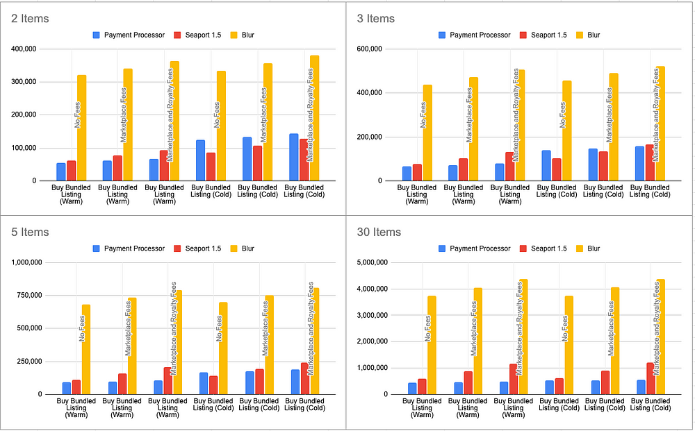
基准 — 购买捆绑列表

如下所示,无论是热购买还是冷购买,付款处理器通常都是最有效的,尤其是捆绑包中包含的商品越多。请注意,对于 100 个项目, Blur Exchange不存在基准这是因为在 37 个项目时,Blur Exchange实现实际上会恢复,可能是由于内存分配错误。

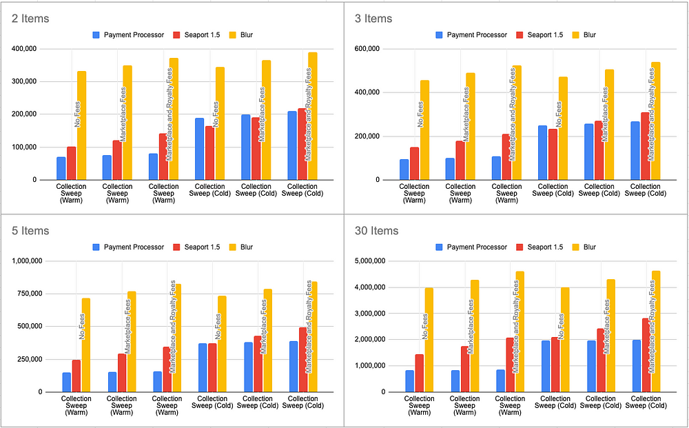
基准——收集扫描

如下所示,支付处理器通常对于热购买和冷购买都是最有效的,尤其是扫描订单中包含的商品越多。

获胜者:支付处理器

警告:对于某些创作者定义的单个商品销售安全级别的提升,Seaport 可能会表现出更好的 Gas 性能

不变性

在这三个协议中,Blur Exchange是唯一使用可升级代理系统构建的合约。虽然从用户的角度来看,这确实允许市场合约的无摩擦升级,但这给交易者带来了很大的风险。

由于Blur Exchange需要获得转移 ERC20、ERC721 和 ERC1155 资产的批准,因此它的可升级性给这些资产带来了重大的中心化风险。管理员签名密钥丢失可能会导致恶意升级,其中引入了允许攻击者转移所有用户资产的功能。

更安全的策略是使用不可变合约并部署具有升级功能的单独市场合约,并要求用户批准新的市场合约。这是SeaportPayment Processor采取的方法

获胜者:支付处理器和海港

简单性和可读性

一般来说,合约设计越简单,外部和链下系统就越容易集成。Seaport在订单构建和执行方面极其灵活,但代价是系统设计的额外复杂性。考虑以下设计图。显然, Seaport内部发生了很多事情来处理 NFT 交易,而Seaport作为一个系统需要自己的术语表。

海港设计图

Blur Exchange相对简单一些,但仍有一些合约交互需要理解。

模糊交换设计图

相比之下,支付处理器是一个独立的智能合约,不需要外部交互。

另一个重要的考虑因素是市场合约需要用户批准才能促进 NFT 交易。理解合同在做什么以及它如何工作的能力对于能够信任合同并批准转移您的资产至关重要!

通过内联汇编,可以无情地优化执行代码的 Gas 成本。具体情况会有所不同,但对于一份编写良好的合约,使用 Yul 相对于 Solidity 节省的金额可能约为 1-3%。天哪,所有代码都用 Yul 编写的工程师看起来无疑很聪明。

但是,当涉及到信任具有资产批准之类的合同时,我们认为大多数外行人阅读和理解经过验证的合同的能力更为重要。

Seaport包含超过 10,000 行代码,分布在数十个代码文件中。试图跟随并理解Seaport的所有逻辑和执行流程充其量是困难的。

另一方面, Blur ExchangePayment Processor都在单个合约文件中包含 1500 行高级可靠性代码,并且 Yul 最少,可以更轻松地阅读和理解,特别是带有支持文档注释。

获胜者:支付处理器和 Blur

令牌标准支持

所有三个市场协议都支持使用本地货币和 ERC-20 代币交易 ERC721 和 ERC1155 代币。然而,SeaportBlur Exchange都不像Payment Processor一样原生支持 EIP-2981 版税标准,这使得它成为需要版税支持的收藏品的不二之选。

获胜者:支付处理器

交易执行逻辑的灵活性和订单的复杂性

Payment ProcessorBlur Exchange优雅地实现了多种交易风格,但具有非常精确、定义明确的执行流程。另一方面,Seaport专为任意复杂的订单和执行流程而构建。在订单创建、验证和执行方面,它显然更加灵活。

获胜者:海港

NFT 创作者的安全和保护

支付处理器ERC721-C是专门为 NFT 创造者提供有关其 NFT 交易方式的选项。另一方面,Seaport是完全开放的,允许以可能不利于创作者试图通过其收藏实现的目标的方式进行交易。

Seaport没有为创作者提供真正的控制或护栏。我们还可以看看 OpenSea 黑名单或运营商过滤器注册表。这种通过阻止可选版税来保护创作者版税的尝试最终注定会失败,这在很大程度上是因为Seaport被设计为一个开放的市场协议。最终,Blur能够利用Seaport绕过操作员过滤器注册表。

获胜者:支付处理器

结论

对于 NFT 创作者和游戏开发者,支付处理器市场协议提供了优于SeaportBlur Exchange 的明显优势。Payment Processor当然对创建者更友好,客观地说,在许多情况下,它在用户 gas 费用方面表现更好。

作为下一步,Limit Break 目前正与合作伙伴合作整合订单簿和交易界面,以充分释放 ERC721-C 和可编程版税的改变游戏规则的潜力。

定制各类 交易所 钱包 链游 元宇宙 DeFi Dapp NFT Swap 各类App系统 开发好的项目 源代码免费开源 1. 合约交易所 现货交易 跟单合约交易 期货合约 全币种期权 秒合约 永续合约2. 中心化热钱包 去中心化冷钱包3. 去中心化交易所(量化交易)4. USDT BTC ETH自动归集5. Dapp智能合约 卡牌游戏类 抽奖类 6. DeFi流动性挖矿 交易挖矿 质押挖矿7. 去中心化交易所 Uniwsap JustSwap BscDEX8. NFT Dego 艺术品拍卖平台 加密猫 NFT音乐9. Erc20Token 匿名公链 POW+POS公链10.官网开发11. MG动画视频 企业宣传片视频12. 商业计划报告 白皮书13. 服务器 域名 邮箱 短信14. 元宇宙 BNB ETH EOS HT OK等多链游戏15. 链游 对战回合制 农民世界 TRX赛马类16. NFT 数字藏品平台开发,平台搭建 17.国内联盟链接口申请、第三方支付接口申请18.海外企业申请,牌照申请,公户下发


已发布

分类

来自

标签:

评论

发表回复

您的邮箱地址不会被公开。 必填项已用 * 标注